从零实现 LLM Inference:074. Multiprocess Serving 极致优化:Ablation / 稳定性 / 拓扑绑核 / Async Streaming / Profiling
在 071 里我把 roseinfer 从单进程拆成了 API process + engine process。tail 确实稳了,但拆完以后很快就会碰到一个现实问题:
多进程不是“画张架构图就结束”,它会带来一堆很真实的工程税。
线程池、绑核、IPC、loop 公平性、streaming 形态,任何一个点没抠对,性能就会漏气。
这篇我就干一件事:把这堆工程税压到我愿意长期背着的水平——默认配置就是最强;每个点都有开关;能做论文式 ablation;并且能用 profile 把结论讲清楚。
目标
我对 multiprocess serving 的要求其实非常苛刻:
1) 性能:MP baseline(全开)在 roseinfer variants 里应该是最优;至少不能出现“关掉某个优化反而更快”的反直觉。
2) 稳定:benchmark 能跑不算数,profile stage 偶发 crash 才是线上真正会炸的那种。
3) 可解释:每个优化点都有 option,ablation 像论文一样能复现;profile 文件位置固定、读法清晰。
对标对象我就盯三个:vLLM / SGLang / TensorRT-LLM。
业界复盘:他们为什么 multi-process 还能这么快?
我这次刻意把视角从“attention 算子”挪到“系统工程税”,因为 multiprocess 真正拖性能的往往就是这些。
1) 线程池:多进程 + 默认线程数 = 直接 CPU 过载
vLLM 在 multiprocess executor 里直接把 OMP_NUM_THREADS 这类东西压住,注释写得很直白:多进程默认线程数会造成 CPU contention(源码:vllm/v1/executor/multiproc_executor.py 的 set_multiprocessing_worker_envs)。
SGLang 的 GPU worker 也会在加载权重前 torch.set_num_threads(1),理由同样是 “reduce thread conflicts”(源码:python/sglang/srt/model_executor/model_runner.py)。
结论:多进程场景下,默认线程数几乎总是负收益。
2) 输入预算:别把 scheduler loop 的 decode 给饿死
SGLang 的 scheduler 收请求时有 max_recv_per_poll 上限,达到就 break(源码:python/sglang/srt/managers/scheduler.py)。直觉很简单:极端负载下输入洪峰会吞掉一整轮 loop 时间,decode 被饿死,tail 直接爆炸。
结论:scheduler loop 必须给 decode 留预算。
3) 绑核:别“数学正确但拓扑错误”
这点 vLLM/SGLang 没把策略写死给你看,但它们都给了暗示:CPU 要当资源规划,而不是交给 OS 随缘。SGLang 甚至会给 GPU 进程设置 affinity(源码:python/sglang/srt/utils/common.py)。
我自己的坑是:混合架构(P-core/E-core)上,“把可用 CPU list 一分为二”很容易把 engine pin 到慢核,做成纯负优化(下面会详细讲)。
4) Streaming:默认就是 async
这个坑特别“线上”:Starlette/FastAPI 的 StreamingResponse 如果给 sync generator,会把 generator 丢线程池跑,本质就是 一个 stream 一条线程。vLLM/SGLang 的 OpenAI server 默认姿势都是 async streaming——它们不一定显式告诉你“别这么干”,但默认实现已经把坑绕开了。
我们的 root cause:为什么 071 的 multiprocess 还不够“极致”?
把 multiprocess 相比 in-proc 多出来的成本拆开看,基本就五类:
1) CPU 竞争:API+engine 都跑 PyTorch/tokenizer/detok,默认线程池把 CPU 打爆;
2) IPC 工程税:token 事件在热路径上分配 dict/list,再 pickle/queue;
3) loop 不公平:输入 drain 太狠会饿死 decode;
4) 绑核翻车:auto split 把 engine pin 到慢核 / 拆开 SMT siblings;
5) 服务边界瓶颈:StreamingResponse 的线程海把 tail 拖坏(甚至饿 GPU)。
另外还有一个“必须补作业”的点:profile stage 偶发 crash。这类 crash 线上一定会以更恶心的方式炸出来,不把它收敛掉,我不相信任何性能结论。
设计总览:API/Engine 两进程 + 热路径减肥
整体拓扑还是 071 的边界(API process + engine process),但这次把热路径上每一坨“杂物”都抠了一遍:
graph LR
C[Client] -->|HTTP/SSE| API[API Process]
API -->|Cmd: add/cancel/profile| IPC1[IPC cmd]
IPC1 --> ENG[Engine Process]
ENG -->|Events: token/finish| IPC2[IPC evt]
IPC2 --> API
API --> C
subgraph "Hot Path"
API
IPC1
ENG
IPC2
end
原则很简单:engine loop 里不做没必要的 Python 分配;API 侧不搞线程海;CPU 资源要规划;profile 要能复现。
一组默认按“正收益”打开的 MP 优化
这里我统一用论文式标记:
-xxx:默认打开的正收益特性,ablation 是关掉它;+yyy:默认关闭的风险/负收益项,ablation 是打开它。
1) -thr cap:每个进程的 PyTorch/OMP 线程池都 cap 到 1,默认开
做法就是 vLLM/SGLang 那套:engine/API 两边都把 torch.set_num_threads(1) / torch.set_num_interop_threads(1),并配套 OMP_NUM_THREADS=1 / MKL_NUM_THREADS=1。
目标不是“让单次更快”,而是 避免多进程 CPU 竞争把 tail 拖烂。
2) -affinity:topology-aware 自动绑核,默认开
我一开始的 auto split 是典型“数学正确”:把 sched_getaffinity() 的 CPU list 平分。
问题是:混合架构(以 i9-13900K 这种为代表)上,CPU id 和核快慢很可能相关;你把 engine 分到尾巴,很可能就是 E-core。
所以我现在的策略是按 physical core 分,而不是按 cpu id 分:
1) 读取 /sys/devices/system/cpu/cpu*/topology/thread_siblings_list 做 core 分组;
2) 优先把 SMT group(通常是 P-core) 分给 engine;
3) 不把同一个 physical core 的 SMT siblings 拆给两个进程;
4) 小 CPU 份额(容器只给 0-15 这类)时保证 engine 至少拿一半,否则 engine loop 会被饿死。
graph TB
subgraph "CPU affinity set"
P[SMT groups (often P-cores)<br/>(0,1) (2,3) ...]
E[solo groups (often E-cores)<br/>(16) (17) ...]
end
P -->|prefer| ENG[engine process]
E -->|spill| API[API process]
ENG -->|leave enough budget| API
实现落在 rosellm/roseinfer/server.py(_cpu_core_groups() / _auto_split_cpu_affinity())。
3) -cmd budg:输入处理预算,默认 mp_max_recv_per_iter=64
对应 SGLang 的 max_recv_per_poll:每轮最多收 N 个 cmd,剩下留给下一轮,保证 decode 不会被输入洪峰饿死。
4) pipe bytes + -flat evts:事件拍平 + 走 send_bytes/recv_bytes,默认开
目标是把 token 事件从“Python 对象海”变成“可 memcpy 的扁平数据”:
- 旧:
dict[int, list[int]]/list[finished](大量对象) - 新:
array('I')形式的(rid, token_id)pairs +finished_ids - IPC 默认用
multiprocessing.Connection.send_bytes/recv_bytes,避免multiprocessing.Queue的 pickle/feeder thread 开销。
+queue ipc 作为对照项保留(默认关)。
5) -batch send / -fill tgt:减少 IPC 调用次数、避免碎 batch,默认开
这两个点都是纯工程:让 API->engine 的 cmd 发送更“块状”,让 engine 侧每轮更接近填满(而不是被碎片化请求打成小 batch)。
6) Offline 特有:-fast cnt 默认开,+stream tok 默认关
offline throughput 默认是 finish-only:不需要 streaming token,只要最终 output token 数。
如果你还每 step 更新 token_count dict,本质是在用“在线粒度”做“离线统计”,纯浪费 CPU。
所以 -fast cnt 的快路径是:request finished 时一次性取 scheduler.get_step_count(rid) 写最终统计。
+stream tok 则是故意把离线也打开 token event(作为对照,默认关)。
为什么 -fast cnt 一关就暴跌?
这个点我一开始也没想到会这么“夸张”,后来把代码摊开看就很清楚了:它不是那种“微调一下,+1%”的优化,而是把一坨完全没必要的 Python 热路径删掉了。
我们 offline 的 MP 路径默认是 finish-only(mp_finish_only=True):engine 不往外发 token stream,只在请求结束时回一个 “这个请求一共生成了多少 token”。然后 benchmark 脚本用这个 count 去算 tok/s。
问题在于:你怎么得到这个 count?
- 朴素做法(
+slow cnt,也就是把-fast cnt关掉):- engine 进程自己维护一个
token_counts: dict[rid, cnt]; - 每一次 decode step 都会拿到
step_tokens: dict[rid, token_id]; - 然后在 Python 里对每个
rid做一次token_counts[rid] += 1; - 请求 finished 时,把
token_counts[rid]发回去。
- engine 进程自己维护一个
伪代码大概就是这样:
for step in range(T):
step_tokens = scheduler.step() # dict[rid -> token]
for rid in step_tokens:
token_counts[rid] += 1 # Python dict get/set 热路径
这在 “小模型 + 高吞吐” 的 offline 场景里非常致命:gpt2 在 4070 上 decode 得太快了,你很容易把瓶颈从 GPU 直接挪到 CPU。于是你会看到一个非常真实的现象:
GPU 其实能跑得更快,但你在 CPU 上为了“统计一个数”付出了 20%+ 的时间。
而 -fast cnt 的核心思想就是一句话:别重复记账。
scheduler 作为生成逻辑的一部分,本来就必须维护 “一个请求已经生成了多少步/多少 token”:
- 要判断
max_new_tokens什么时候到; - 要做
stop_on_eos; - 要处理 prefix cache / overlap schedule 的一些边界。
所以我直接复用这个内部计数:请求 finished 时调用 scheduler.get_step_count(rid),把它作为最终 token 数回传;整个过程中不再维护 token_counts dict,自然也就没有 “每 token 一次 dict get/set” 这种纯 CPU 税。
你看我们这轮 offline 数据里,-fast cnt 一关吞吐从 12873 tok/s 掉到 9456 tok/s,本质上就是这段 Python bookkeeping 在吞时间。
那 vLLM / SGLang / TensorRT-LLM 为啥不需要这招?
因为它们在 offline benchmark 里压根不会走这种 “每 token 用 Python 维护一个计数器” 的路径。
更常见(也更合理)的做法是:生成结束后再统计,或者直接用 engine 内部已经维护好的长度字段:
- vLLM:
llm.generate(..., detokenize=False)返回RequestOutput,最后len(out.outputs[0].token_ids)统计一次就行(见benchmarks/serving/offline_compare.py::_run_vllm)。 - SGLang:
engine.generate(...)返回的每个结果里有meta_info[\"completion_tokens\"],直接求和(见benchmarks/serving/offline_compare.py::_run_sglang)。 - TensorRT-LLM:返回结构里也能拿到
token_ids,最后len(...)求和即可;并且核心执行在 C++/TensorRT 里,长度字段本来就得有(见benchmarks/serving/offline_compare.py::_run_trtllm)。
换句话说:-fast cnt 不是什么“作弊 trick”,它只是把 roseinfer MP finish-only 这条链路补齐到和它们同一个思路:不要为了 benchmark 指标,在热路径上额外做一遍计数。
(更进一步说:在我们这轮 offline 是 --ignore-eos,理论上甚至可以直接用 num_prompts * output_len 得到总 token 数。但我还是保留了 “从 engine 拿实际 count” 的路径:一是为了支持 ignore_eos=False 的情况,二是避免未来改动时出现“看起来 token 固定但实际不固定”的坑。)
稳定性:把 profile-only 偶发 device-side assert 收敛掉
这个坑我很想写下来,因为它太典型:
- benchmark 200/200 全绿;
- profile-only 偶发 crash;
- 报错在某个
synchronize(),堆栈非常误导; - signature 是
indexSelectSmallIndex ... Assertion srcIndex < ... failed。
这种东西如果不收掉,你线上迟早要用更恶心的方式还债。
我最后做了三层“几乎不增加热路径成本”的防线(都在 rosellm/roseinfer/engine.py):
1) fused sampler 输出 clamp:永远落在 $[0, vocab-1]$;
2) overlap future map resolve:index 做 bounds clamp(避免 placeholder 映射越界);
3) future token map 从 empty 改成 zeros:避免未定义读变成随机大数直接把 embedding 炸穿。
这三层叠起来以后,profile stage 就能稳定全绿,后面再谈“极致性能”才踏实。
Async Streaming:把 “thread per stream” 的线程海拔掉,只改边界层
这里我先讲清楚现象,不然你会误判成 GPU 问题:
Starlette/FastAPI 的
StreamingResponse如果你给的是 sync generator,它会把 generator 放线程池跑。
请求一多就是线程海 + context switch + GIL 抖动,最后表现为 tail 变丑、host launch gap 变大、GPU 被 CPU 饿住。
我不想为了 async 把整个 engine/scheduler 改成 asyncio(复杂度太高),所以目标很明确:
- engine/IPC 继续走线程/进程(热路径不动);
- 只把 “API -> client 的 token streaming” 改成 async generator;
- 不引入额外线程,不把 engine 卡在 asyncio 上。
最终就是一个小到离谱的桥接队列:HybridQueue(rosellm/roseinfer/hybrid_queue.py)。
sequenceDiagram
participant ENG as Engine thread/process
participant Q as HybridQueue
participant LOOP as asyncio loop (API process)
participant SSE as async generator (StreamingResponse)
ENG->>Q: put(piece)
Q-->>LOOP: call_soon_threadsafe(event.set)
SSE->>Q: await aget()
Q-->>SSE: piece / None (EOS)
SSE-->>LOOP: yield chunk
开关:
--async-streaming(默认开)--no-async-streaming(ablation:-async stream)
顺便把一个常用关系式写在这儿(读图很方便):
\[E2E \approx TTFT + (n_{out}-1)\cdot TPOT\]streaming 链路上的 CPU 抖动会被放大到 $TPOT$ 的尾部,这也是为什么这个优化对 online tail 特别敏感。
Benchmark 方法:online 的 “trace” 是啥?跑一次大概多久?
先把术语说清楚,不然很容易鸡同鸭讲。
Offline:吞吐 - finish-only
offline 这边就是最传统的吞吐测试:
num_prompts=128input_len=256output_len=64(并且--ignore-eos,强制每个请求都跑满 64 token,避免 EOS 提前结束造成 token 数不一致)max_batch_size=256warmup_prompts=8+warmup_full_batch=True(非常关键,后面会解释为什么)
这一轮完整跑完(含 vLLM/SGLang/TRT-LLM + ablation)总 wall time 大概 3 分钟:outputs/benchmarks/serving/offline_20251229_001108/offline_results.json 的 meta.wall_s=178.9 秒。
Online:trace-driven latency - TTFT/TPOT/ITL/E2E
online 不是自己造 uniform QPS,而是用一个带时间戳的请求序列(trace)去压:
- trace 文件:
~/.cache/rosellm/benchmarks/traceA.jsonl --n 200:取 trace 里的前 200 个请求scale(图里横坐标的 Trace time scale):把 trace 的 inter-arrival time 乘上一个系数- scale 越小 => 请求到达越密 => 负载越高
在线这轮总 wall time 大概 45 分钟:outputs/benchmarks/serving/online_20251228_231859/online_results.json 的 meta.wall_s=2699.3 秒。
Profile:单独 stage,不污染 benchmark 数据
两套脚本都支持:
--profile torch|nsys|both:额外跑 profile stage;--profile-only:只采 profile,不跑完整 benchmark;- profile 的请求数/长度单独设(避免 trace 巨大)。
结果:以最新、最可信的一组数据为准
下面的图/表我统一用这两次跑出来的产物(同一个 git_rev):
- online:
outputs/benchmarks/serving/online_20251228_231859/online_results.json - offline:
outputs/benchmarks/serving/offline_20251229_001108/offline_results.json
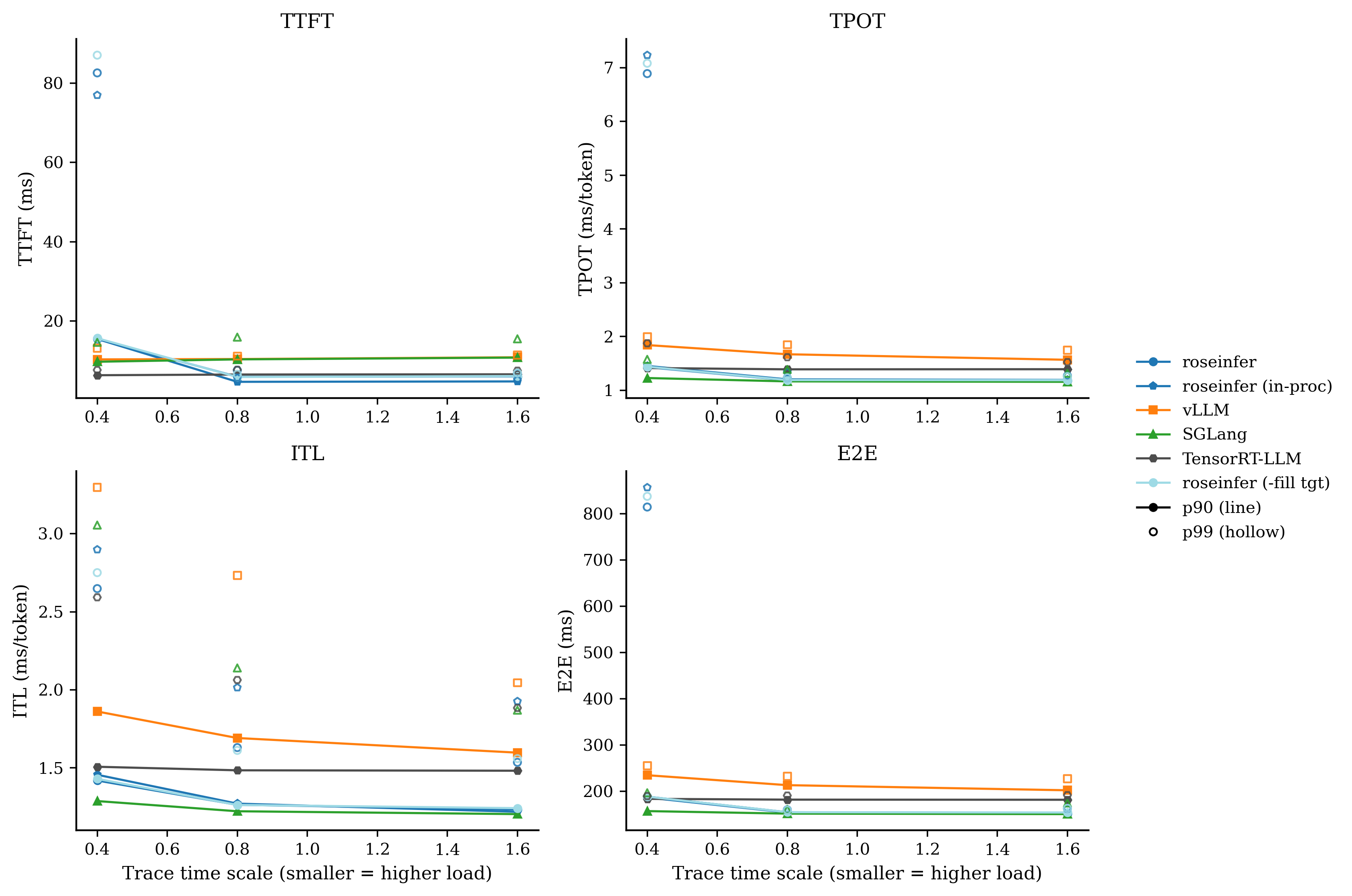
Online:延迟
p90 曲线 + p50–p90 band,空心点为 p99。

为了更直观看 tail(以及避免 band 把图挤得太花),我另外画了两张“只看一个分位”的版本:
Online:只看 P99

Online:只看 P90

Online:单点对比图,固定 5 个 baseline + 1 个变体
每张图里固定放:roseinfer / roseinfer (in-proc) / vLLM / SGLang / TensorRT-LLM,然后额外加一个“单点变体”,让 P90/P99 的差异更容易被肉眼抓出来。
对比:-async stream

对比:-flat evts

对比:-cmd budg

对比:-fill tgt

对比:-affinity

对比:-thr cap

对比:+queue ipc

原始数据表格
| scale | backend | TTFT p50/p90/p99 (ms) | TPOT p50/p90/p99 (ms) | ITL p50/p90/p99 (ms) | E2E p50/p90/p99 (ms) |
|---|---|---|---|---|---|
| 0.40 | roseinfer | 8.89/15.44/82.62 | 1.19/1.43/6.89 | 1.13/1.42/2.65 | 155.08/187.03/814.29 |
| 0.40 | roseinfer (in-proc) | 8.85/15.43/76.99 | 1.20/1.45/7.23 | 1.14/1.46/2.90 | 155.74/188.87/856.59 |
| 0.40 | roseinfer (-affinity) | 9.27/15.54/75.57 | 1.19/1.45/6.33 | 1.14/1.44/2.63 | 154.91/188.75/744.20 |
| 0.40 | roseinfer (-async stream) | 9.74/16.07/88.98 | 1.35/1.51/7.13 | 1.28/1.56/3.13 | 174.47/195.80/840.56 |
| 0.40 | roseinfer (-cmd budg) | 9.63/15.82/85.61 | 1.34/1.51/7.11 | 1.28/1.54/3.46 | 173.61/198.54/835.71 |
| 0.40 | roseinfer (-fill tgt) | 9.20/15.62/87.10 | 1.19/1.44/7.08 | 1.13/1.43/2.75 | 155.83/188.85/837.33 |
| 0.40 | roseinfer (-flat evts) | 9.34/15.86/119.46 | 1.19/1.45/7.68 | 1.14/1.45/2.88 | 156.26/189.74/914.13 |
| 0.40 | roseinfer (-thr cap) | 9.49/16.11/111.37 | 1.35/1.53/5.42 | 1.28/1.53/3.27 | 174.68/199.52/530.98 |
| 0.40 | roseinfer (+queue ipc) | 9.98/16.20/87.04 | 1.35/1.51/7.13 | 1.28/1.54/3.18 | 174.20/197.10/838.82 |
| 0.40 | SGLang | 7.67/9.69/14.58 | 1.10/1.23/1.57 | 1.07/1.29/3.06 | 144.10/157.67/197.26 |
| 0.40 | TensorRT-LLM | 5.68/6.28/7.60 | 1.38/1.41/1.87 | 1.37/1.51/2.59 | 180.05/184.11/190.06 |
| 0.40 | vLLM | 9.21/10.28/13.09 | 1.59/1.84/1.99 | 1.53/1.86/3.30 | 200.58/235.18/255.43 |
| 0.80 | roseinfer | 5.17/5.90/7.53 | 1.12/1.19/1.23 | 1.10/1.26/1.63 | 145.87/154.57/160.55 |
| 0.80 | roseinfer (in-proc) | 4.00/4.62/5.63 | 1.12/1.20/1.33 | 1.10/1.27/2.01 | 145.24/155.24/160.99 |
| 0.80 | roseinfer (-affinity) | 5.04/5.83/6.65 | 1.11/1.19/1.23 | 1.10/1.26/1.62 | 145.30/154.86/160.37 |
| 0.80 | roseinfer (-async stream) | 5.21/6.37/7.01 | 1.27/1.35/1.37 | 1.24/1.44/1.80 | 161.46/175.56/179.46 |
| 0.80 | roseinfer (-cmd budg) | 5.28/6.28/6.78 | 1.27/1.34/1.36 | 1.25/1.42/1.79 | 162.93/175.27/178.53 |
| 0.80 | roseinfer (-fill tgt) | 5.21/5.83/6.52 | 1.11/1.19/1.23 | 1.10/1.26/1.61 | 145.43/155.31/160.07 |
| 0.80 | roseinfer (-flat evts) | 5.32/5.89/6.98 | 1.11/1.20/1.24 | 1.10/1.27/1.65 | 145.77/155.13/161.13 |
| 0.80 | roseinfer (-thr cap) | 5.16/6.17/7.93 | 1.27/1.35/1.39 | 1.24/1.42/1.78 | 160.76/174.47/179.42 |
| 0.80 | roseinfer (+queue ipc) | 5.40/6.33/6.91 | 1.27/1.35/1.37 | 1.24/1.42/1.79 | 162.73/175.13/178.96 |
| 0.80 | SGLang | 8.50/10.28/15.90 | 1.07/1.17/1.39 | 1.06/1.22/2.14 | 143.34/152.21/161.56 |
| 0.80 | TensorRT-LLM | 5.77/6.46/7.66 | 1.37/1.39/1.61 | 1.36/1.48/2.06 | 179.11/182.43/191.21 |
| 0.80 | vLLM | 9.20/10.36/11.11 | 1.45/1.67/1.85 | 1.42/1.69/2.73 | 187.58/213.70/233.04 |
| 1.60 | roseinfer | 5.36/5.99/6.76 | 1.11/1.18/1.27 | 1.09/1.23/1.54 | 143.86/152.06/163.43 |
| 1.60 | roseinfer (in-proc) | 4.18/4.71/5.12 | 1.12/1.19/1.26 | 1.10/1.22/1.93 | 143.92/153.71/162.79 |
| 1.60 | roseinfer (-affinity) | 5.39/5.95/6.86 | 1.11/1.18/1.25 | 1.09/1.23/1.53 | 144.18/153.32/161.17 |
| 1.60 | roseinfer (-async stream) | 5.48/6.16/7.10 | 1.25/1.34/1.44 | 1.23/1.40/1.73 | 161.54/173.63/188.90 |
| 1.60 | roseinfer (-cmd budg) | 5.43/6.29/7.02 | 1.26/1.35/1.43 | 1.23/1.40/1.71 | 161.16/174.38/185.72 |
| 1.60 | roseinfer (-fill tgt) | 5.49/6.07/6.83 | 1.11/1.19/1.25 | 1.09/1.24/1.56 | 144.35/154.65/163.69 |
| 1.60 | roseinfer (-flat evts) | 5.41/6.10/6.74 | 1.11/1.18/1.25 | 1.09/1.23/1.54 | 143.76/152.17/163.99 |
| 1.60 | roseinfer (-thr cap) | 5.41/6.29/6.93 | 1.26/1.34/1.41 | 1.23/1.40/1.70 | 161.23/174.45/183.97 |
| 1.60 | roseinfer (+queue ipc) | 5.80/6.48/7.48 | 1.26/1.35/1.42 | 1.23/1.40/1.72 | 161.60/174.33/185.84 |
| 1.60 | SGLang | 9.12/10.73/15.47 | 1.06/1.16/1.32 | 1.06/1.20/1.87 | 143.18/151.19/175.24 |
| 1.60 | TensorRT-LLM | 5.95/6.51/7.43 | 1.37/1.39/1.52 | 1.36/1.48/1.88 | 179.02/182.16/192.10 |
| 1.60 | vLLM | 9.55/10.81/11.40 | 1.37/1.57/1.74 | 1.37/1.60/2.05 | 182.75/202.63/227.41 |
我自己的读法很直接:
-async stream在 scale=0.8/1.6 上把 E2E/TPOT 拉得很明显(线程海的代价);+queue ipc、-flat evts这类改动对 p99 很诚实:热路径的 Python/IPC 开销就是会放大到尾部;- baseline(全开)在 roseinfer variants 里终于变得像 baseline:它应该最稳、也确实最稳。
Offline:吞吐 - finish-only

原始数据表格
| backend | req/s | output tok/s | total tok/s | total latency (s) |
|---|---|---|---|---|
| roseinfer | 201.14 | 12872.99 | 64364.95 | 0.636 |
| roseinfer (in-proc) | 204.01 | 13056.84 | 65284.22 | 0.627 |
| roseinfer (+kv256) | 0.00 | 0.00 | 0.00 | 9.071 |
| roseinfer (-affinity) | 201.03 | 12866.10 | 64330.52 | 0.637 |
| roseinfer (-batch send) | 200.21 | 12813.58 | 64067.92 | 0.639 |
| roseinfer (-cmd budg) | 201.06 | 12867.85 | 64339.24 | 0.637 |
| roseinfer (-fill tgt) | 200.99 | 12863.17 | 64315.84 | 0.637 |
| roseinfer (-thr cap) | 201.16 | 12874.52 | 64372.58 | 0.636 |
| roseinfer (+queue ipc) | 200.26 | 12816.90 | 64084.48 | 0.639 |
| roseinfer (-fast cnt) | 147.75 | 9456.12 | 47280.59 | 0.866 |
| roseinfer (+stream tok) | 201.26 | 12880.77 | 64403.85 | 0.636 |
| SGLang | 243.20 | 15564.48 | 77822.40 | 0.526 |
| TensorRT-LLM | 248.69 | 15916.24 | 79581.21 | 0.515 |
| vLLM | 140.44 | 8988.14 | 44940.70 | 0.911 |
offline 这张我更关心两点:
1) MP baseline 已经非常接近 in-proc(差距大概就是“多进程固定税”的那点尾巴,约 1–2%);
2) -fast cnt 一关就暴跌,说明我们之前确实在用“在线粒度”做“离线统计”,纯浪费 CPU。
(+kv256 这次直接 OOM:它属于风险项,默认就应该关,ablation 里留着只是提醒自己“别手痒”。)
一个很蠢但很关键的坑:为什么你会看到 vLLM 对比“前后翻转”?
这段我必须写,不然我自己也不信我跑出来的数。
我早期有一轮 offline(同一个 git_rev=5099b2b)跑出来 roseinfer < vLLM,后来又变成 roseinfer > vLLM。看起来像“优化点差不多但结论乱跳”,实际根因是:我把一次性开销算进了计时。
具体表现是:
- 旧的 offline 跑数没有
warmup_full_batch(warmup 没覆盖到真正的 shape/path); - CUDA Graph capture / Triton compile / allocator warmup 这些一次性成本被计进了 timed region;
- vLLM 这类系统本身 init/warmup 覆盖更完整,所以受影响更小;
- 结果就是:只有 roseinfer 看起来突然慢了 2×,排名被污染。
我现在统一用带 warmup_full_batch=True 的那轮作为最终 offline 数据(就是上面那张表),这才是 steady-state 吞吐。
Profiling:怎么采?文件在哪?我建议先看什么?
这部分强烈建议配合 073 一起看(profiling harness 的设计和坑在那篇写得更全)。
1) 我这次跑出来的文件位置示例
Online:
- 结果:
outputs/benchmarks/serving/online_20251228_231859/online_results.json - profile 索引:
outputs/benchmarks/serving/online_20251228_231859/profile_manifest.json - torch traces:
- roseinfer:
outputs/benchmarks/serving/online_20251228_231859/profiles/torch/roseinfer/trace.json - vLLM:
outputs/benchmarks/serving/online_20251228_231859/profiles/torch/vllm/*.pt.trace.json.gz - SGLang:
outputs/benchmarks/serving/online_20251228_231859/profiles/torch/sglang/*.trace.json.gz
- roseinfer:
- nsys:
outputs/benchmarks/serving/online_20251228_231859/profiles/nsys/<backend>/nsys.nsys-rep
Offline:
- 结果:
outputs/benchmarks/serving/offline_20251229_001108/offline_results.json - profile 索引:
outputs/benchmarks/serving/offline_20251229_001108/profile_manifest.json - torch:
outputs/benchmarks/serving/offline_20251229_001108/profiles/torch/<backend>/*trace.json* - nsys:
outputs/benchmarks/serving/offline_20251229_001108/profiles/nsys/<backend>/nsys.nsys-rep
2) SGLang offline 的“三段式 profile”怎么处理?
SGLang 的 Engine 是 TokenizerManager(main) + Scheduler(proc) + Detokenizer(proc) 三段式。
我一开始犯过一个很蠢的错:在 wrapper 进程里 with torch.profiler.profile 包住 engine.generate(),采到的基本是“主进程空转”;真正的 GPU work 在 scheduler 子进程里,trace 里看不到。
现在 offline harness 的做法是:直接调用 engine.tokenizer_manager.start_profile(...),让 scheduler 自己把 trace 导出来(文件名里会带 TP-0)。如果你想看全进程树的系统行为,nsys 更靠谱。
3) 我看 profile 的顺序
1) 先看 GPU timeline 有没有大 gap:有 gap 基本就是 CPU 把 GPU 饿住了;
2) 再看 NVTX/record_function range(roseinfer 已经在 engine/mp loop 里打了很多 tag):
roseinfer.mp.drain_cmds/roseinfer.mp.add_requests/roseinfer.mp.steproseinfer.model.forward*/roseinfer.scheduler.*
3) 如果你在追 tail:重点看 CPU runnable/blocked + IPC send/recv 有没有 backpressure。
复现命令
Online:
python benchmarks/serving/online_compare.py --model gpt2 --device cuda --dtype fp16 --gpu 0 --n 200 --scales 0.4,0.8,1.6 --backends roseinfer,vllm,sglang,trtllm --roseinfer-compare-engine-process --roseinfer-compare-mp-ablations --profile both --profile-n 16 --profile-output-len 32
Offline:
python benchmarks/serving/offline_compare.py --model gpt2 --device cuda --dtype fp16 --gpu 0 --trtllm-backend tensorrt --num-prompts 128 --input-len 256 --output-len 64 --temperature 0.7 --top-p 0.9 --top-k 50 --seed 42 --tensor-parallel-size 1 --max-batch-size 256 --warmup-prompts 8 --ignore-eos --backends roseinfer_mp,roseinfer,vllm,sglang,trtllm --roseinfer-compare-mp-ablations --profile both --profile-num-prompts 8 --profile-input-len 256 --profile-output-len 32
小结与下一步
这篇收尾我想留三个结论:
1) 多进程的难点不是“拆”,是“拆完以后把工程税压到看不见”:线程池、绑核、IPC、loop 公平性,哪个没调对都会把你所有 micro-opt 一票否决。
2) baseline(全开)现在终于像 baseline:在 roseinfer variants 里最稳,ablation 的语义也统一成了 -xxx/+yyy。
3) MP baseline 仍然比 in-proc 略慢一点点(主要是固定税),但已经到了我愿意继续往上迭代的位置。
下一步我自己最想继续抠的方向也很明确:
- 进一步压 IPC 固定税(甚至考虑更激进的 shared memory / ring buffer);
- 把 tokenizer/detok 的 CPU 热点再细分拆一遍(对标 SGLang 那种三段式的优缺点);
- 用 profile 把 “CPU launch gap” 和 “engine loop 的 Python 分配” 再做一次跨框架对比,看看还有哪些肉眼可见的 gap。