从零实现 LLM Inference:076. 继续追性能:和 SGLang / TensorRT-LLM 的差距到底在哪?
这一篇想做两件事:
- 把 gap 讲清楚:roseinfer 现在 online/offline 到底在哪些指标上比 vLLM 好、又在哪些指标上输给 SGLang / TensorRT-LLM?
- 做增量试验:不是“拍脑袋改一堆”,而是像做实验一样一个点一个点试(每个 feat 都有开关;确认正收益的我会逐步把默认打开),跑完就把数据和 profile 对上,判断是不是在往正确方向走。
我还是沿用项目里的 serving benchmark 形态:
- trace stage:回放真实 trace(
scale越小,负载越大) - profile stage:单独采 profile(样本很小),避免 profile 污染 benchmark 数字
指标还是四个:
- TTFT:time-to-first-token
- ITL:inter-token latency
- TPOT:time per output token
- E2E:end-to-end latency
顺手把一个常用关系式写在这儿(输出 token 数为 $N$):
\[\mathrm{TPOT} = \frac{t_{end}-t_{first}}{N-1},\quad \mathrm{E2E} = t_{end}-t_{start}\]Baseline:先别优化,先把差距钉死
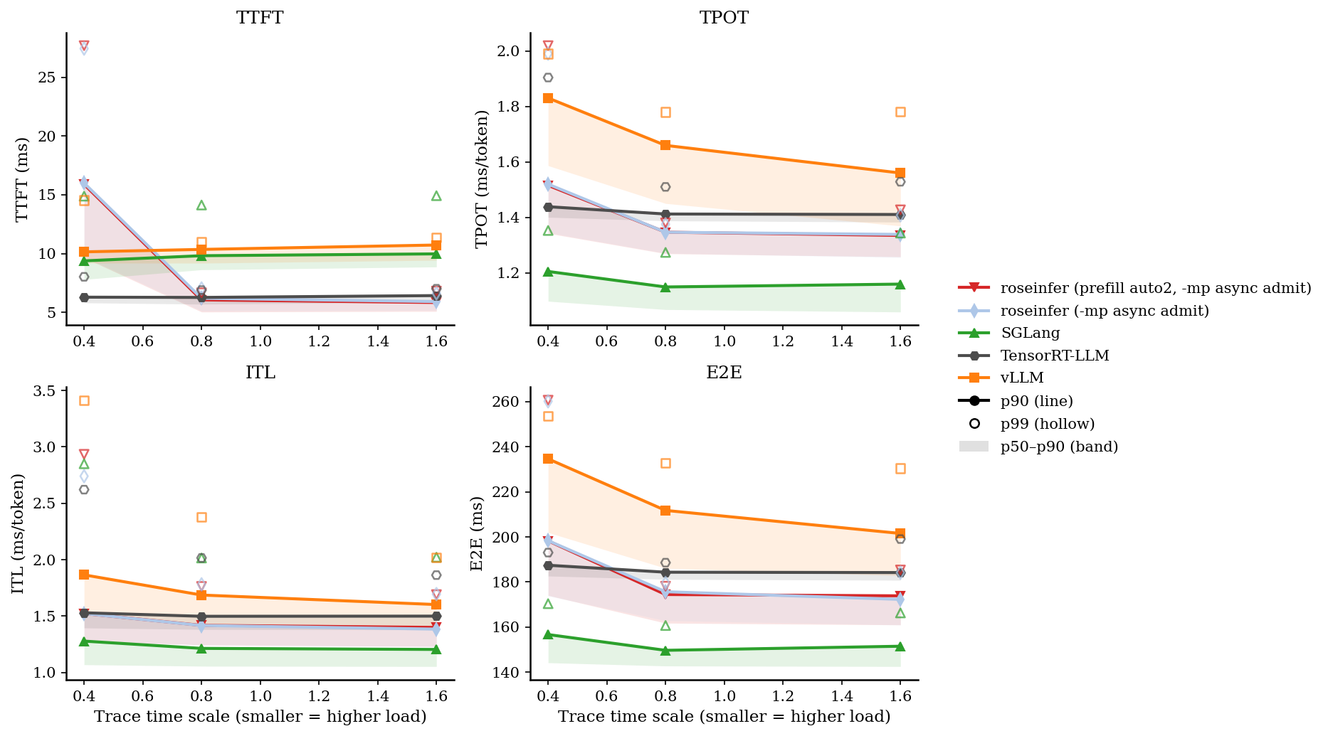
先看 online,一张总览图(包含 p50–p90 band、p90 线、p99 hollow):

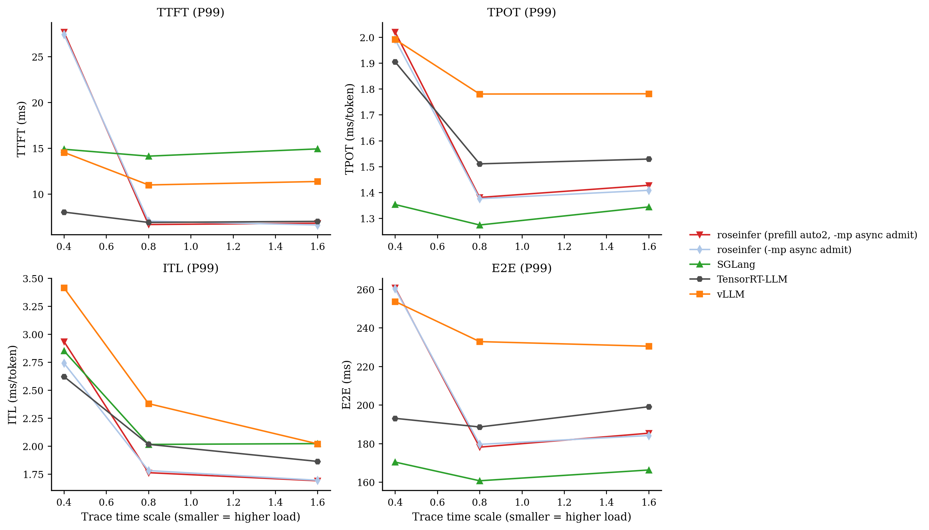
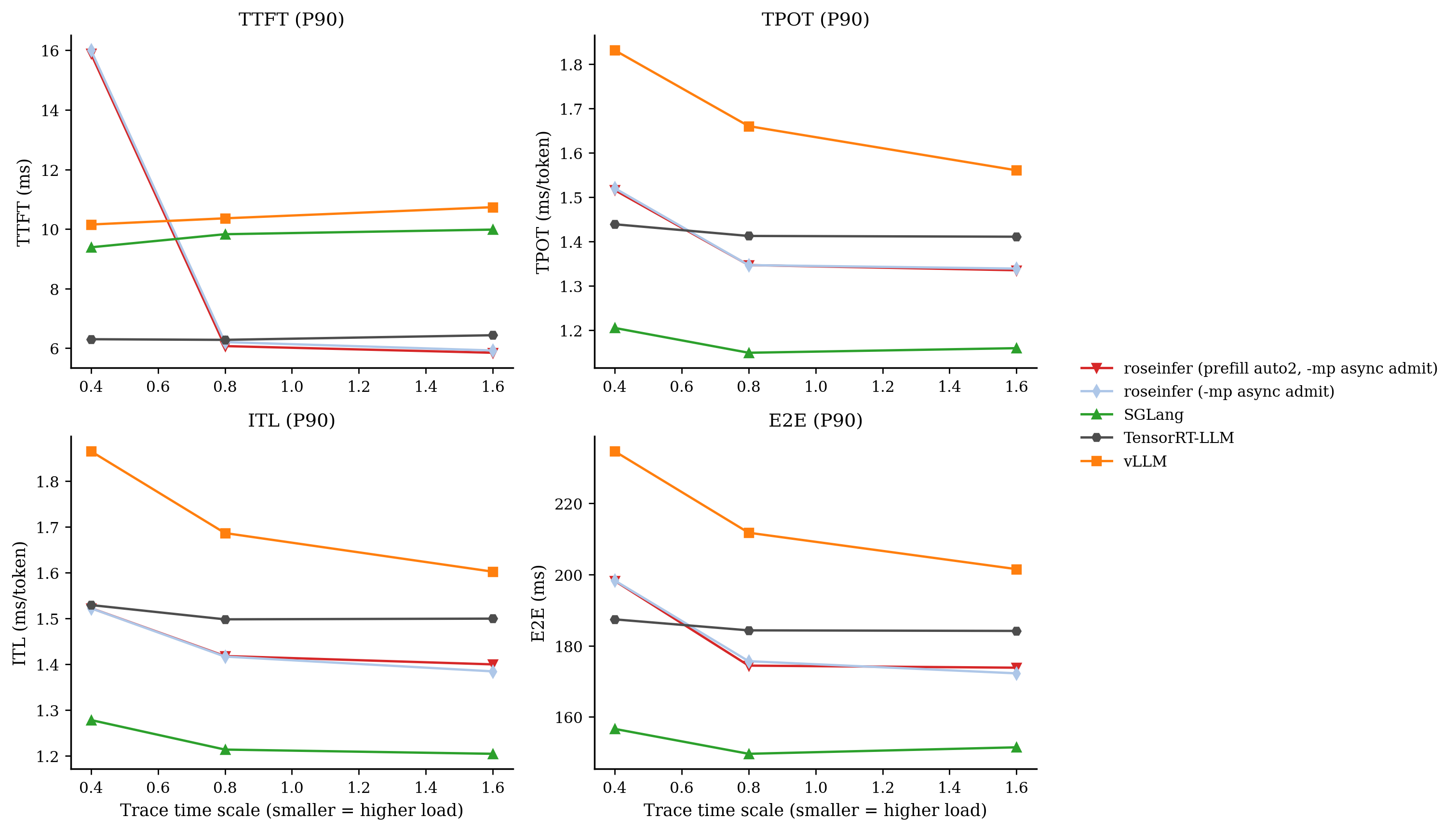
只看 P99 / P90 会更直观:


我把最重负载(scale=0.4)的原始数直接贴出来,避免“看图说话”:
| backend | TTFT p90 | TTFT p99 | TPOT p90 | TPOT p99 | E2E p90 | E2E p99 |
|---|---|---|---|---|---|---|
| roseinfer | 15.80 | 33.33 | 1.45 | 1.88 | 188.30 | 245.44 |
| vllm | 10.15 | 14.54 | 1.83 | 1.99 | 234.64 | 253.63 |
| sglang | 9.39 | 14.89 | 1.21 | 1.35 | 156.65 | 170.35 |
| trtllm | 6.30 | 8.03 | 1.44 | 1.90 | 187.42 | 193.03 |
online 原始数据(p50/p90/p99,全 scales)
- model: `gpt2`, dtype: `fp16`, `n=200`, scales: `[0.4, 0.8, 1.6]` - versions: `git_rev=0cd08cb, rosellm=0.1.0, vllm=0.7.2, sglang=0.4.6, tensorrt_llm=1.1.0, torch=2.6.0, transformers=4.51.3, python=3.11.11` | scale | backend | TTFT p50/p90/p99 (ms) | TPOT p50/p90/p99 (ms) | ITL p50/p90/p99 (ms) | E2E p50/p90/p99 (ms) | |---:|---|---:|---:|---:|---:| | 0.40 | roseinfer | 9.48/15.80/33.33 | 1.19/1.45/1.88 | 1.13/1.39/2.42 | 154.50/188.30/245.44 | | 0.40 | SGLang | 7.80/9.39/14.89 | 1.10/1.21/1.35 | 1.07/1.28/2.85 | 144.13/156.65/170.35 | | 0.40 | TensorRT-LLM | 5.82/6.30/8.03 | 1.40/1.44/1.90 | 1.40/1.53/2.62 | 182.62/187.42/193.03 | | 0.40 | vLLM | 9.20/10.15/14.54 | 1.59/1.83/1.99 | 1.53/1.87/3.41 | 201.93/234.64/253.63 | | 0.80 | roseinfer | 5.24/5.96/6.69 | 1.12/1.19/1.24 | 1.10/1.27/1.63 | 145.27/155.80/161.87 | | 0.80 | SGLang | 8.63/9.83/14.13 | 1.07/1.15/1.27 | 1.06/1.21/2.02 | 142.70/149.64/160.67 | | 0.80 | TensorRT-LLM | 5.71/6.28/6.90 | 1.39/1.41/1.51 | 1.38/1.50/2.02 | 181.14/184.33/188.56 | | 0.80 | vLLM | 9.19/10.36/10.99 | 1.45/1.66/1.78 | 1.42/1.69/2.38 | 186.06/211.76/232.81 | | 1.60 | roseinfer | 5.38/5.92/6.57 | 1.11/1.17/1.25 | 1.09/1.23/1.55 | 144.00/153.93/163.60 | | 1.60 | SGLang | 8.87/9.98/14.93 | 1.06/1.16/1.34 | 1.05/1.20/2.02 | 142.46/151.47/166.25 | | 1.60 | TensorRT-LLM | 5.88/6.43/7.02 | 1.38/1.41/1.53 | 1.38/1.50/1.86 | 180.76/184.17/199.04 | | 1.60 | vLLM | 9.44/10.73/11.37 | 1.37/1.56/1.78 | 1.38/1.60/2.02 | 182.80/201.53/230.43 |这张表里我看到三个很明确的信号:
- TTFT 是我们的短板:无论 p90/p99 都明显落后(尤其是 p99)。
- TPOT/ITL 我们并不差:TPOT p90 已经能压住 vLLM,p99 也差不多打平。
- E2E 很“符合公式”:TTFT 偏大 + TPOT 尚可,最后 E2E 能压住 vLLM,但和 SGLang/TRT 还有硬差距。
再看 offline(吞吐),同样先把现象钉死:

以及原始表格(同一组配置):
| backend | req/s | output tok/s | total tok/s | total latency (s) |
|---|---|---|---|---|
| roseinfer | 201.14 | 12872.99 | 64364.95 | 0.64 |
| roseinfer (in-proc) | 204.01 | 13056.84 | 65284.22 | 0.63 |
| vllm | 140.44 | 8988.14 | 44940.70 | 0.91 |
| sglang | 243.20 | 15564.48 | 77822.40 | 0.53 |
| trtllm | 248.69 | 15916.24 | 79581.21 | 0.51 |
offline 原始数据(吞吐表)
- model: `gpt2`, dtype: `fp16`, `num_prompts=128`, `input_len=256`, `output_len=64`, `ignore_eos=true` - versions: `git_rev=5099b2b, rosellm=0.1.0, vllm=0.7.2, sglang=0.4.6, torch=2.6.0, transformers=4.51.3, python=3.11.11` | backend | req/s | output tok/s | total tok/s | total latency (s) | |---|---:|---:|---:|---:| | roseinfer | 201.14 | 12872.99 | 64364.95 | 0.636 | | roseinfer (in-proc) | 204.01 | 13056.84 | 65284.22 | 0.627 | | SGLang | 243.20 | 15564.48 | 77822.40 | 0.526 | | TensorRT-LLM | 248.69 | 15916.24 | 79581.21 | 0.515 | | vLLM | 140.44 | 8988.14 | 44940.70 | 0.911 |offline 也很清晰:
- roseinfer 比 vLLM 快 40%+(这点我挺满意,说明我们这套 paged decode + 融合内核没白做)。
- 但对上 SGLang / TRT-LLM 还差一截(大概 15–20% 左右)。
拆指标:各家“好在哪 / 差在哪”
我这里按“最容易解释清楚”的顺序来:
1) TPOT / ITL:为什么我们能压 vLLM?
直觉上,TPOT/ITL 就是 decode 路径的“每 token 成本”。roseinfer 现在能把 vLLM 压住,核心是我们把 decode 的热路径尽量收敛成:
- paged attention 的 T=1 decode(避免 dense past_kv 的大张量搬运)
- CUDA graph replay(把 launch overhead 压到很低)
- fused sampler / fused KV append(减少 python->kernel 的切换次数)
这些东西不是“玄学”,都能在 torch profiler 的 trace 里看到对应的块(例如 roseinfer.model.forward.cuda_graph_replay、roseinfer.mp.step、roseinfer.prefill_batch.model_forward 等)。
2) TTFT:为什么 SGLang / TRT-LLM 更短?
TTFT 里面至少叠了三类开销:
- 服务侧开销:HTTP JSON parse、tokenize、请求入队/排队
- prefill 计算:真正的 prefill forward
- 调度等待:prefill 何时开始跑、是否被 decode 轮转压住
TRT-LLM 低 TTFT 很容易理解:它把一大段推理图直接下沉到 TensorRT engine,prefill 的 kernel 组合就是更“硬”。
SGLang 的 TTFT 更短,除了 kernel 更紧凑以外,还和它的 serving 结构有关:它把 tokenize / scheduler / detokenize 拆得很清晰,避免把重 CPU 活塞进同一个 request handler 里(可以翻它的 server-side runtime 代码,整体思路非常工程化:把“会抖的 CPU 工作”从关键路径拿掉)。
为了避免写成本地路径,我把几个关键文件都换成可直接访问的 GitHub 链接(对应我这次对照的版本):
- SGLang scheduler:https://github.com/sgl-project/sglang/blob/ea177372bd8cb12fca335291e81ef049b8655472/python/sglang/srt/managers/scheduler.py
- vLLM OpenAI server:https://github.com/vllm-project/vllm/blob/7b5575fa7dcf76ac86ab8d18501b9cc04f74f6bb/vllm/entrypoints/openai/api_server.py
- TensorRT-LLM examples(入口很多,我主要对照的是它的 serving/benchmark 脚本):https://github.com/NVIDIA/TensorRT-LLM/tree/7c82605327baf4ee12e8fd2cdd66fd3b87273928/examples
3) offline 吞吐:为什么我们落后 SGLang / TRT-LLM?
offline 的 output tok/s,基本就是“decode token 的 steady-state 吞吐”。我们现在的 gap 更像“kernel 级别的常数项差距”:
- TRT-LLM:TensorRT engine + (可能的) 更激进 fusion
- SGLang:flashinfer/sgl-kernel 的组合把 decode 路径压得很干净
- roseinfer:虽然有不少 fusion,但整体还是 PyTorch eager + 自己拼 kernel,很多地方常数项还在(特别是 prefill / decode 的边角逻辑)
这一块短期最现实的路线还是:继续把 kernel 和数据流压平,而不是指望 scheduler 改一改就把吞吐追平。
Feat1:mpasync(默认开启,把 admit/tokenize 从 handler 拆出去)
动机
TTFT 的服务侧开销里,“tokenize + 提交请求”是个很典型的 CPU 热点:
- 在 FastAPI handler 里同步做 tokenize,会把 event loop/worker 卡住(哪怕 tokenize 本身不慢,抖动也会被放大到 tail)。
- SGLang 这种把 pipeline 拆开的方案,本质上就是在说:把 CPU 工作挪出关键路径。
所以我做了一个很直接的试验:在 multiprocess 模式下新增一个 admission 阶段,把:
- prompt tokenize
- AddRequestCmd 的提交
从 FastAPI handler 里拆出去,让 handler 更像一个“轻薄的入口”。
实现对应这两个开关(默认开启):
--mp-async-admit/--no-mp-async-admit--mp-tokenize-workers N(默认4)
实现
代码入口:
rosellm/roseinfer/mp.py:MPSchedulerManager(... async_admit, tokenize_workers)rosellm/roseinfer/server.py:把这两个参数接到 CLI 上
大致数据流可以理解成这样:
flowchart LR
A[FastAPI handler] -->|enqueue admit task| Q[(admit queue)]
Q --> T[tokenize/admit threads]
T -->|send AddRequestCmd| P[(mp cmd pipe/queue)]
P --> E[engine process]
E -->|token events| R[(mp evt pipe/queue)]
R --> A
结果(online)

P99 / P90:


把 scale=0.4 的数字贴出来:
| backend | TTFT p90 | TTFT p99 | TPOT p90 | TPOT p99 | E2E p90 | E2E p99 |
|---|---|---|---|---|---|---|
| roseinfer | 15.80 | 33.33 | 1.45 | 1.88 | 188.30 | 245.44 |
| roseinfer (-mp async admit) | 16.00 | 27.43 | 1.52 | 1.99 | 198.34 | 260.21 |
| vllm | 10.15 | 14.54 | 1.83 | 1.99 | 234.64 | 253.63 |
| sglang | 9.39 | 14.89 | 1.21 | 1.35 | 156.65 | 170.35 |
| trtllm | 6.30 | 8.03 | 1.44 | 1.90 | 187.42 | 193.03 |
online 原始数据(p50/p90/p99,全 scales)
- model: `gpt2`, dtype: `fp16`, `n=200`, scales: `[0.4, 0.8, 1.6]` - versions: `git_rev=0cd08cb, rosellm=0.1.0, vllm=0.7.2, sglang=0.4.6, tensorrt_llm=1.1.0, torch=2.6.0, transformers=4.51.3, python=3.11.11` | scale | backend | TTFT p50/p90/p99 (ms) | TPOT p50/p90/p99 (ms) | ITL p50/p90/p99 (ms) | E2E p50/p90/p99 (ms) | |---:|---|---:|---:|---:|---:| | 0.40 | roseinfer | 9.48/15.80/33.33 | 1.19/1.45/1.88 | 1.13/1.39/2.42 | 154.50/188.30/245.44 | | 0.40 | roseinfer (-mp async admit) | 9.75/16.00/27.43 | 1.35/1.52/1.99 | 1.28/1.52/2.74 | 173.78/198.34/260.21 | | 0.40 | SGLang | 7.80/9.39/14.89 | 1.10/1.21/1.35 | 1.07/1.28/2.85 | 144.13/156.65/170.35 | | 0.40 | TensorRT-LLM | 5.82/6.30/8.03 | 1.40/1.44/1.90 | 1.40/1.53/2.62 | 182.62/187.42/193.03 | | 0.40 | vLLM | 9.20/10.15/14.54 | 1.59/1.83/1.99 | 1.53/1.87/3.41 | 201.93/234.64/253.63 | | 0.80 | roseinfer | 5.24/5.96/6.69 | 1.12/1.19/1.24 | 1.10/1.27/1.63 | 145.27/155.80/161.87 | | 0.80 | roseinfer (-mp async admit) | 5.14/6.20/7.04 | 1.27/1.35/1.38 | 1.24/1.42/1.78 | 162.81/175.66/179.54 | | 0.80 | SGLang | 8.63/9.83/14.13 | 1.07/1.15/1.27 | 1.06/1.21/2.02 | 142.70/149.64/160.67 | | 0.80 | TensorRT-LLM | 5.71/6.28/6.90 | 1.39/1.41/1.51 | 1.38/1.50/2.02 | 181.14/184.33/188.56 | | 0.80 | vLLM | 9.19/10.36/10.99 | 1.45/1.66/1.78 | 1.42/1.69/2.38 | 186.06/211.76/232.81 | | 1.60 | roseinfer | 5.38/5.92/6.57 | 1.11/1.17/1.25 | 1.09/1.23/1.55 | 144.00/153.93/163.60 | | 1.60 | roseinfer (-mp async admit) | 5.18/5.92/6.62 | 1.26/1.34/1.41 | 1.23/1.38/1.70 | 160.91/172.25/184.12 | | 1.60 | SGLang | 8.87/9.98/14.93 | 1.06/1.16/1.34 | 1.05/1.20/2.02 | 142.46/151.47/166.25 | | 1.60 | TensorRT-LLM | 5.88/6.43/7.02 | 1.38/1.41/1.53 | 1.38/1.50/1.86 | 180.76/184.17/199.04 | | 1.60 | vLLM | 9.44/10.73/11.37 | 1.37/1.56/1.78 | 1.38/1.60/2.02 | 182.80/201.53/230.43 |这组数据的结论非常“拧巴”:
- TPOT / E2E 变好(尤其是 E2E p99 明显掉了一截)
- 但 TTFT p99 变差(在最重负载下,长尾更难看)
我理解它的本质不是“算得更慢”,而是排队形态变了:
- baseline:handler 同步 tokenize,会天然形成 backpressure,系统很早就开始“堵住”,但进入系统的请求 TTFT 不一定变差。
- mpasync:入口更轻,更多请求能更快进入 admission 队列;在重负载下,tokenize/admit 线程会被打满,TTFT 的 tail 变成“在队里等”的 tail。
所以这个 feat 的价值更像是:给 TPOT/E2E 让路,但它并不是“TTFT tail 的银弹”。它带来的收益足够实在(尤其是 E2E),所以我把它默认打开;如果你特别在意 TTFT p99,可以手动 --no-mp-async-admit。
结果(offline)
offline 本身不走 HTTP handler,也不做 prompt tokenize(直接用 token ids),所以这个 feat 对 offline 吞吐基本是“无效”的:图我就不重复解释了。

offline 原始数据(吞吐表)
mpasync 开关对 offline 不生效(offline 直接喂 token ids,不走 handler/tokenize),所以这张表就是 baseline。 | backend | req/s | output tok/s | total tok/s | total latency (s) | |---|---:|---:|---:|---:| | roseinfer | 201.14 | 12872.99 | 64364.95 | 0.636 | | roseinfer (in-proc) | 204.01 | 13056.84 | 65284.22 | 0.627 | | SGLang | 243.20 | 15564.48 | 77822.40 | 0.526 | | TensorRT-LLM | 248.69 | 15916.24 | 79581.21 | 0.515 | | vLLM | 140.44 | 8988.14 | 44940.70 | 0.911 |Feat2:+auto2(prefill backend 改成 flash-attn 优先)
动机
TTFT 慢,第一反应就是 prefill 慢。
roseinfer 的 prefill backend auto 目前是 flashinfer 优先(如果装了 flashinfer)。我想验证一个简单假设:
对 GPT-2 这种 dense prefill,flash-attn 可能更合适?如果把 auto 的优先级换一下,会不会 TTFT 变短、offline 也更快?
于是加了一个新枚举值 auto2(默认还是 auto,所以这个也是“默认关闭”的试验项):
auto:flashinfer -> flash-attnauto2:flash-attn -> flashinfer
实现位置:
rosellm/roseinfer/engine.py:_resolve_prefill_backend()支持auto2rosellm/roseinfer/server.py/benchmarks/serving/*_compare.py:放开auto2作为合法参数
结果(online)
这个试验我刻意用 --no-mp-async-admit 跑:mpasync 会改变排队形态(TTFT tail 的来源变了),很容易把 prefill backend 的差异“淹没”掉。

P99 / P90:


只看 scale=0.4 的表格更直观:
| backend | TTFT p90 | TTFT p99 | TPOT p90 | TPOT p99 | E2E p90 | E2E p99 |
|---|---|---|---|---|---|---|
| roseinfer (-mp async admit) | 16.00 | 27.43 | 1.52 | 1.99 | 198.34 | 260.21 |
| roseinfer (prefill auto2, -mp async admit) | 15.89 | 27.68 | 1.52 | 2.02 | 198.24 | 260.69 |
| vllm | 10.15 | 14.54 | 1.83 | 1.99 | 234.64 | 253.63 |
| sglang | 9.39 | 14.89 | 1.21 | 1.35 | 156.65 | 170.35 |
| trtllm | 6.30 | 8.03 | 1.44 | 1.90 | 187.42 | 193.03 |
online 原始数据(p50/p90/p99,全 scales)
- model: `gpt2`, dtype: `fp16`, `n=200`, scales: `[0.4, 0.8, 1.6]` - versions: `git_rev=0cd08cb, rosellm=0.1.0, vllm=0.7.2, sglang=0.4.6, tensorrt_llm=1.1.0, torch=2.6.0, transformers=4.51.3, python=3.11.11` | scale | backend | TTFT p50/p90/p99 (ms) | TPOT p50/p90/p99 (ms) | ITL p50/p90/p99 (ms) | E2E p50/p90/p99 (ms) | |---:|---|---:|---:|---:|---:| | 0.40 | roseinfer (prefill auto2, -mp async admit) | 9.66/15.89/27.68 | 1.34/1.52/2.02 | 1.28/1.52/2.93 | 174.02/198.24/260.69 | | 0.40 | roseinfer (-mp async admit) | 9.75/16.00/27.43 | 1.35/1.52/1.99 | 1.28/1.52/2.74 | 173.78/198.34/260.21 | | 0.40 | SGLang | 7.80/9.39/14.89 | 1.10/1.21/1.35 | 1.07/1.28/2.85 | 144.13/156.65/170.35 | | 0.40 | TensorRT-LLM | 5.82/6.30/8.03 | 1.40/1.44/1.90 | 1.40/1.53/2.62 | 182.62/187.42/193.03 | | 0.40 | vLLM | 9.20/10.15/14.54 | 1.59/1.83/1.99 | 1.53/1.87/3.41 | 201.93/234.64/253.63 | | 0.80 | roseinfer (prefill auto2, -mp async admit) | 5.04/6.07/6.67 | 1.27/1.35/1.38 | 1.24/1.42/1.76 | 161.70/174.42/178.10 | | 0.80 | roseinfer (-mp async admit) | 5.14/6.20/7.04 | 1.27/1.35/1.38 | 1.24/1.42/1.78 | 162.81/175.66/179.54 | | 0.80 | SGLang | 8.63/9.83/14.13 | 1.07/1.15/1.27 | 1.06/1.21/2.02 | 142.70/149.64/160.67 | | 0.80 | TensorRT-LLM | 5.71/6.28/6.90 | 1.39/1.41/1.51 | 1.38/1.50/2.02 | 181.14/184.33/188.56 | | 0.80 | vLLM | 9.19/10.36/10.99 | 1.45/1.66/1.78 | 1.42/1.69/2.38 | 186.06/211.76/232.81 | | 1.60 | roseinfer (prefill auto2, -mp async admit) | 5.09/5.85/6.82 | 1.26/1.34/1.43 | 1.23/1.40/1.69 | 160.94/173.84/185.32 | | 1.60 | roseinfer (-mp async admit) | 5.18/5.92/6.62 | 1.26/1.34/1.41 | 1.23/1.38/1.70 | 160.91/172.25/184.12 | | 1.60 | SGLang | 8.87/9.98/14.93 | 1.06/1.16/1.34 | 1.05/1.20/2.02 | 142.46/151.47/166.25 | | 1.60 | TensorRT-LLM | 5.88/6.43/7.02 | 1.38/1.41/1.53 | 1.38/1.50/1.86 | 180.76/184.17/199.04 | | 1.60 | vLLM | 9.44/10.73/11.37 | 1.37/1.56/1.78 | 1.38/1.60/2.02 | 182.80/201.53/230.43 |online 上基本可以判死刑:变化非常小,且 p99 没有任何改善。
结果(offline)
offline benchmark 我现在把口径统一成 fixed-length generation(ignore_eos=true),避免因为 EOS 早停导致“输出长度随机 → 吞吐口径漂移”。这条 auto2 的 offline 数据是旧口径跑的,为了避免再画一张不可比的图,这里先不贴。
所以 auto2 我会留着当实验开关,但默认永远不应该开(至少从 online 看它没有带来任何好处)。
Profile 怎么看(以及文件在哪)
1) 先找文件
每次 profile stage 都会写一个 profile_manifest.json,里面把每个 backend 的 profile 输出目录写死了。
典型路径长这样:
- online baseline profile(torch/nsys,mpasync 开):
outputs/benchmarks/serving/online_20251230_111520/profile_manifest.json - online baseline profile(torch/nsys,mpasync 关):
outputs/benchmarks/serving/online_20251230_140544/profile_manifest.json - online auto2 profile(torch/nsys,mpasync 关):
outputs/benchmarks/serving/online_20251230_135311/profile_manifest.json - offline baseline profile(torch/nsys):
outputs/benchmarks/serving/offline_20251229_001108/profile_manifest.json
对具体文件来说:
- torch profiler:
profiles/torch/<backend>/trace.json - nsys report:
profiles/nsys/<backend>/nsys.nsys-rep
需要 .sqlite 的话可以手动 export:
nsys stats --force-export=true --report cuda_gpu_sum path/to/nsys.nsys-rep
2) torch profiler:我主要看三件事
- prefill 的 forward:
roseinfer.prefill_batch.model_forward - decode 的 steady state:
roseinfer.model.forward.cuda_graph_replay/roseinfer.mp.step - CPU 侧的噪声:tokenize、IPC、queue wakeup(尤其是 TTFT tail 的时候)
这套 trace 的好处是:即便你开了 CUDA graphs,它也能把 CPU 侧的 record_function / NVTX 范围显示得很清楚。
3) nsys:我主要用它看“线程和调度”
vLLM/SGLang/TRT-LLM 的 nsys 一般能直接看到 kernel;roseinfer 这边因为 decode 用了 CUDA graph,nsys 的展示形式会更偏向 graph/events + NVTX ranges(这点在 CLI report 上不太友好,但 GUI 里能看)。
我自己的用法:
- 先用 NVTX 找到 TTFT 的时间窗(
nvtx_sum/ GUI 里范围) - 再对比:
- prefill 段 GPU 是否被拉长
- CPU 线程是否在 poll/read/cond_wait 上出现长空洞(典型的 handler/queue 抖动)
小结:现在“最该打的点”是什么?
把这篇的结论收束一下:
- roseinfer 目前的 decode(TPOT/ITL)已经能压住 vLLM,这是好消息。
- TTFT 仍然明显落后 SGLang/TRT-LLM,说明 prefill/scheduler/服务侧路径还有硬差距。
- mpasync 默认开启:能改善 TPOT/E2E,但在重负载下会把 tail 形态转成 admission queue tail;它更像“吞吐/稳定性”的工具,不是 TTFT tail 的解法。
+auto2变化非常小,p99 没有改善,这条路可以先放。
下一步我会把注意力集中到 TTFT 的硬差距 上:prefill 的 kernel 组合、prefill batching 策略、以及更细粒度的调度公平性(不要让 prefill 被 decode 轮转压住)。这才是把 roseinfer 拉到 SGLang/TRT-LLM 水平的关键。